Sharp Manager Selection Proves Key, Fed Rate Whiplash Remains a Threat and Dry Power Continues to Increase in this Week's Edition...
View in browser
FINTRX Logo

Family Office & RIA Weekly Roundup

Volume 85
12/21/2023 (5 Min. Read)
 
Sharp Manager Selection Proves Key, Fed Rate Whiplash Remains a Threat and Dry Powder Continues to Increase in this Week's Edition...

Take a Lap Around the Industry

  • Nippon Steel Takes Over U.S. Steel in $14.9B Merger (Reuters)
  • Handful of Traders Make Billions on Large Bond Wagers (Bloomberg)
  • Adobe Abandons Figma Takeover Bid After Antitrust Backlash (BI)

  • Goods Prices Set to Spike as Red Sea Supply Crisis Deepens (Bloomberg)
Ok-Kbamo_400x400
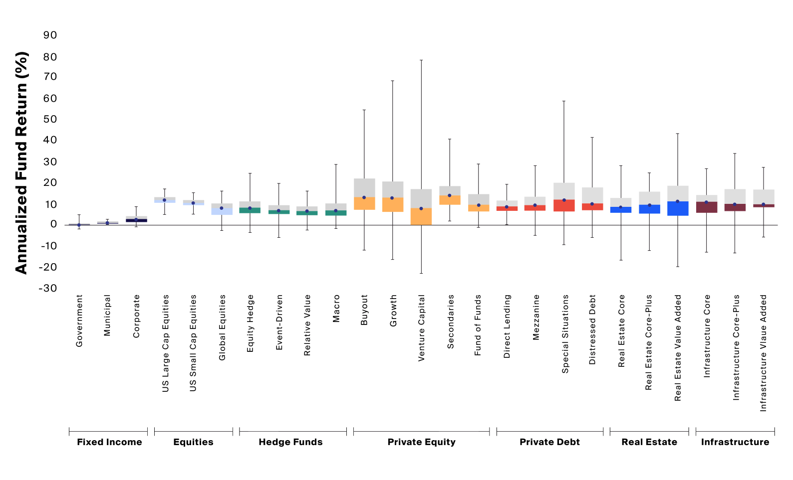
Picking Winners: Why Manager Selection is Key for Alts, Says CAIS
 

When adding alternative investments to client portfolios, financial advisors often start by comparing asset class indices to gauge potential performance. However, as highlighted in a recent report by CAIS, implementation may require selecting specific funds that can deviate significantly from aggregate benchmarks. Careful due diligence of fund managers is therefore critical to capture the risks and rewards of alternatives. For instance, venture capital funds showed the highest dispersion of returns in CAIS's analysis, with top-quartile funds generating internal rates of return between 17-79%, while bottom quartile funds lost money. Outcomes drastically depended on which funds investors selected. Even lower-return fixed income strategies exhibited return dispersions that varied over time, underscoring the need for research even beyond high-flying venture capital. Ultimately, relying solely on a fund's historical performance offers insufficient guidance, according to the CAIS report. Instead, advisors must dig deeper across market environments to find the gems that may boost portfolio returns.

"When an advisor is deciding whether to include an alternative asset class in their client portfolios, they typically compare performance at an index level. Yet, when their process moves from portfolio construction to actual implementation, those same aggregate indices may not be readily accessible through an investable fund, like an S&P500 ETF for US Large Cap equities, for example."

Andrew Snyder, CAIS
Screenshot 2023-12-20 at 11.07.50 AM

Private Funding Pulse Check

 

  • Arcane, an AI-powered marketing platform, has secured $5M in a Seed funding round joined by Helsinki-based Illusian


  • In a recent Series A round, Haniel Group participated in a $44M investment in Ecoworks, a construction contractor company providing net-zero modernization upgrades for apartment buildings


  • Godrej Family Office has participated in a $1M Seed funding round for HouseEazy, a digital platform that aims to revolutionize residential resale transactions


  • Grouse Ridge Capital has engaged in a $5.5M Series A investment in Subtl Beauty, a Pittsburgh, PA-based direct-to-consumer online beauty brand

https://www.fintrx.com/

tryarcane_logo
ecoworksnetzerobuildings_logo
house_eazy_logo
1631329176796
Markets Cheer Easier Fed, But Beware 2024 Whiplash
 

Last week, the Federal Reserve made a bold and unexpected move, shifting from their previous plan of raising interest rates to now predicting significant cuts of 75 basis points by 2024. As the chart shows, the combination of a more dovish Fed, declining interest rates and volatility, easing credit spreads, and cheaper oil translates into a substantial 1.5% boost to GDP over coming quarters. With potential GDP around 2%, this accelerates growth well above expected trends. The downstream effects will likely ripple through housing, jobs, travel, dining, and consumption. However, just as lower rates and prices originally aimed to curb demand, their stimulus effect now risks "re-stoking" the very inflation the Fed targets. Markets face the conclusion that last week's policy swing, while providing short-term relief, complicates the Fed's ultimate mission. As 2024 approaches, experts predict the pendulum to swing back from dove to hawk as the Fed confronts resurgent inflationary pressures.

"This is a bullish outcome for stocks because it means the odds of a soft landing outcome have gone up if the Fed is going to start focusing more on sustaining growth rather than worrying so much about getting inflation all the way down to its 2% target...That’s not to say this dovish shift doesn’t increase the risk of inflation reaccelerating down the line."
Mike Wilson, Morgan Stanley
Screenshot 2023-12-20 at 11.41.15 AM
Private Assets Play a Unique Role in BlackRock’s 2024 Outlook
 

Amid higher rates, inflation, and volatility, BlackRock sees major investment opportunities in the big structural changes reshaping our world. Some of the largest changes include digital disruption, AI, the low-carbon transition, demographic shifts, future finance, and geopolitical fragmentation to name a few. Private markets are uniquely positioned to benefit from these transformations already underway, according to BlackRock's latest annual outlook. Whether financing infrastructure critical for the low-carbon transition or real estate helping societies adapt to demographic changes, private capital will play an essential role. The investors outline the opportunities – and risks – presented by the mega forces across the variety of private asset classes. The report suggests that the key to a successful portfolio is recognizing these differences and choosing the right option to meet an investor's needs. As BlackRock's experts explain, private markets are poised to keep enabling the mega-shift transformations in the year ahead.

"Despite continuing uncertainty, we are embracing the structural changes reshaping our world. And private markets are uniquely positioned to benefit from these mega forces: digital disruption and AI, the low-carbon transition, demographic divergence, the future of finance and geopolitical fragmentation. Whether its infrastructure’s importance to the transition or the role of real estate in helping societies adapt to demographic change, private capital will be essential."
BlackRock
Screenshot 2023-12-20 at 12.53.47 PM

Asia Investment Caution Rising Among the Ultra-Wealthy

 

Asia's wealthy families have historically been more willing to take investment risks compared to their Western hemisphere counterparts, but a recent Citi Private Bank survey signals this long-running trend may be shifting. The survey showed global family offices moving assets into riskier investments, yet Asian ones did not follow suit to the same degree given much of their capital already resides in equities and other volatile assets. With nearly half of their investments in private equity, public stocks, and similar vehicles compared to only 30-33% in cash and bonds, Asian family offices simply have less capacity to further up risk. Reasons behind the traditionally aggressive stance include lower interest rates in the region as well as bets on China's economic recovery, but with Chinese markets struggling lately, appetite for risk appears to be easing.

"I think in Singapore, the MAS (Monetary Authority of Singapore) as a regulator is very proactive. Which is a great thing...they’ve gone out there and really marketed Singapore and to bring family offices from all over the world to set up there."
Tayyab Mohamed, Agreus

https://www.cnbc.com/2023/12/18/asian-family-offices-bet-big-on-risk-but-that-could-be-changing.html

RIA M&A Activity Tracker 🚨

  • Wealth Enhancement Group acquired Asset Management Resources, LLC, an independent RIA in Hyannis, Massachusetts managing over $236M in client assets
  • The acquisition marks Wealth Enhancement Group’s 18th acquisition of 2023 as the firm continues expanding in the northeast
  • Asset Management Resources is led by J. Christopher Boyd, who founded the firm in 2008 to help clients feel secure in retirement through financial planning and portfolio management
  • Adding Asset Management Resources increases Wealth Enhancement Group’s number of offices in Massachusetts to four (PR Newswire)
asset_management_resources_llc_logo
1521741507757
Andrew Popp Headshot

Written by:

Andrew Popp | Sr. Research Associate

FINTRX Logo

FINTRX delivers an industry-leading suite of private wealth data and research solutions to the alternative investment space and private capital markets. Engineered to help clients identify and access family office and RIA capital intuitively, the FINTRX platform ensures accurate and updated data and research on 850,000+ private wealth records globally. To subscribe to our newsletter and see previous versions click below.

Subscribe Here
LinkedIn
Twitter
Instagram

FINTRX, Reservoir Park Drive, Boston, MA 02370, United States, (617) 517-0789

Manage preferences